U乐国际

你的位置:卧螺离心机 >> 新闻中心 >> 螺旋卸料沉降离心机螺旋叶片的工作原理

螺旋卸料沉降离心机螺旋叶片的工作原理

作者:  来源:  添加时间:2013-1-3 10:52:04
螺旋叶片与转鼓之间形成一定的螺旋夹角,设备工作时,物料在螺旋叶片所产生的轴向力作用下沿轴线运动,所得简化后螺旋叶片分析模型。
螺旋叶片工作时,物料受三个力作用,分别是叶片法向力、叶片重力及物料与叶片之间的摩擦力。法向推力可分解为轴向力和圆周方向力,圆周方向力及叶片对物料的摩擦力有带动物料绕轴转动的趋势。由于物料本身具有重力且料槽对物料产生摩擦力,使物料不随着螺旋叶片旋转,而在叶片法向推力的轴向力作用下,沿着料槽轴向移动。
2 强度分析模型的建立
2.1叶片力学模型的建立
由于螺旋卸料沉降离心机的叶片的结构比较复杂,且受力与物料有关,采用传统的建模方法求解较为困难。本论文通过取单位叶片的近似化模型,通过对单位叶片的受力分析,得出整体模型的应力变化和变形情况。
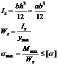
将螺旋叶片简化为悬臂梁(图上图所示)。在横截面A上的弯矩为:
此外又知在B点处界面上弯矩等于零。从而得出最大弯矩在截面A上,且

由以上分析可以得知,在A点处的弯曲应力值最大,且当最大应力值小于许用应力时,叶片不会发生应力变化和形变。
2.2 叶片三维实体模型的建立
在已知叶片结构参数即叶片螺距、密度、质量、许用应力、极限拉伸强度、泊松比、切变模量、压力大小等参数的情况下。通过以上参数得出相应简化的螺旋叶片的Pro/E实体模型,如下图所示:
3 螺旋叶片的有限元仿真
下面U乐国际通过对螺旋叶片施加一定的载荷,来反映在工作状态下螺旋叶片最大应力和变形发生的位置。下面U乐国际从ANSYS有限元分析的结论图中选定:Von Mises  应力(Von Mises 应力是基于剪切应变能的一种等效应力,其含义是单元体形状比能达到一定的程度)和X方向上的位移这两幅分析图,既可以清楚反映叶片的根部应力值最大的问题,同时从位移图中可以看出叶片外端部所受的位移变化之最大。
通过下面这两幅图U乐国际就可以得出与U乐国际力学分析得出的相同结论,以此U乐国际得出了有限元仿真分析的结论,并有力的验证上述分析结果的正确性。

4 结论
(1)从螺旋叶片的简化力学模型分析和有限元仿真结果中都可以看出。叶片的最大应力位于靠近叶片与转鼓联接处,且叶片外端部所受的位移值最大。所以在设计中U乐国际应当高度重视,避免应力集中及叶片形变等问题。
(2)通过结论U乐国际得知叶片在根部处在的应力及形变问题,因此U乐国际在设计中可以通过结构优化适当增加截面,使叶片的应力最大值小于许用应力值,以达到叶片的安全和使用方面要求。
 
U乐国际:
污泥离心脱水处理成套装置(卧螺离心机),全称:卧式螺旋卸料沉降离心机,是城市生活污水处理、自来水生产过程中的污泥处理、工农业污水处理工程中的重要设备。
“卧式螺旋卸料沉降离心机(简称卧螺离心机)是利用离心沉降原理分离悬浮液的设备。对固相颗粒当量直径=3um、重量浓度比:10%或体积浓度比=70%、液固比重差:0.05g/cm3的各种悬浮液均适合采用该类离心机进行液固分离或颗粒分级。
U乐国际:
独一无二的焚烧装置结构和干燥装置设计,可使含水率40%的污泥完全燃烧,燃烧温度高达850~1100℃。